À côté de résultats déjà présentés à l’Eular en juin dernier et rapportés dans ces colonnes, l’actualité de la spondyloarthrite axiale a surtout concerné des aspects thérapeutiques.
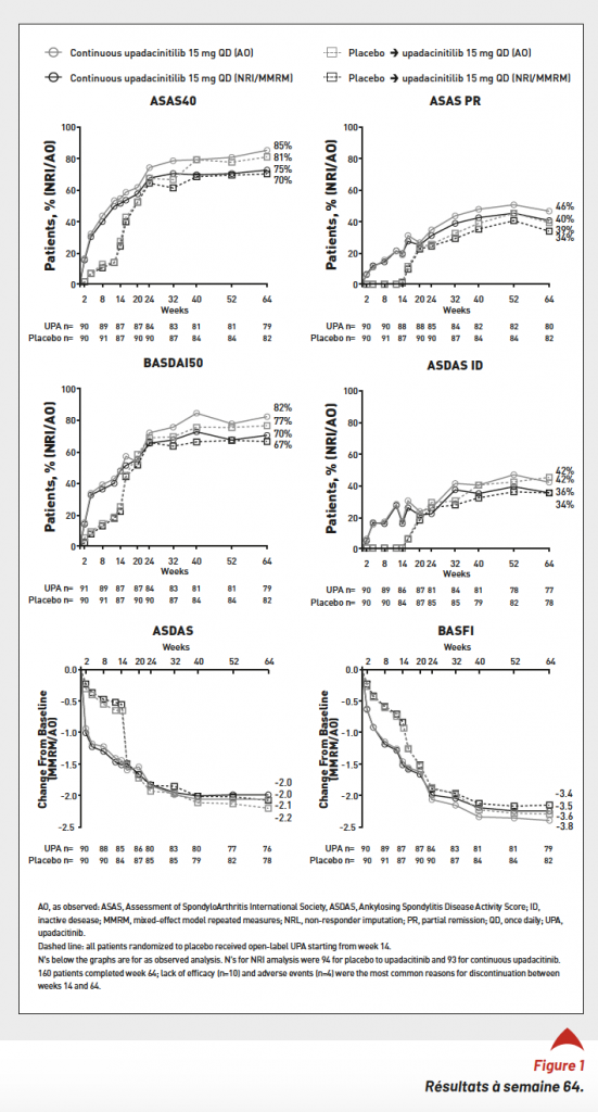
1 Upadacitinib, résultats à 1 an
L’étude SELECT-AXIS 1 (NCT03178487) comprenait une période de 14 semaines randomisée, contrôlée contre placebo, suivie d’une prolongation ouverte de 90 semaines. Les données présentées ici vont jusqu’à la semaine 64 chez des patients (pts) atteints de spondylarthrite ankylosante (SA) active qui ont eu une réponse inadéquate aux AINS. L’étude a recruté des pts (≥ 18 ans) ayant une SA active (définie comme BASDAI ≥ 4 et une évaluation pt de la douleur rachidienne ≥ 4 [échelle d’évaluation numérique, 0-10]) qui avaient une réponse inadéquate à ≥ 2 AINS ou une intolérance ou une contre-indication aux AINS et étaient naïfs aux DMARD biologiques. À l’inclusion, les patients ont été randomisés 1:1 pour recevoir 15 mg d’UPA une fois par jour ou PBO ; à 14 semaines, les patients ont continué dans l’extension ouverte et ont reçu 15 mg/j d’upadacitinib (UPA). Les évaluations de l’efficacité ont porté sur le pourcentage de patients ayant obtenu une réponse ASAS 20/40, une rémission partielle de l’ASAS, un BASDAI50 et l’évolution de l’ASDAS (AS Disease Activity Score) et BASFI au fil du temps. Les effets indésirables (EI) apparus au cours du traitement ont été surveillés tout au long de l’étude et signalés en tant qu’événements pour 100 patients-années (PY) jusqu’au 31 janvier 2020.
Résultats
Sur 187 pts, 178 pts (n = 89 pour les bras UPA et PBO chacun) ont terminé la semaine 14 avec le médicament à l’étude et sont entrés dans la prolongation ouverte ; 160 pts ont terminé la semaine 64 (Fig. 1).

La lecture de cet article est réservée aux abonnés.
Pour accéder à l'article complet
Découvrez nos offres d'abonnement
Abonnez-vous à la revue et accédez à tous les contenus du site !
- Tous les contenus de la revue en illimité
- Les numéros papier sur l'année
- Les newsletters mensuelles
- Les archives numériques en ligne
ou
Achetez cet article
ou
Inscrivez-vous gratuitement sur Rhumatos.fr et bénéficiez de l'accès à de nombreuses catégories du site !
- Accès aux catégories d'articles exclusives
- Les newsletters mensuelles
- Votre historique de commandes en ligne

